• Предмет: Математика
  • Автор: sakinatolipova
  • Вопрос задан 3 года назад


13. Используя рисунок, составьте уравнение и решите его.

Приложения:

Ответы

Ответ дал: p99334014
74

Ответ:

надеюсь все понятно♡)))))))))

Остальные два арбуза весят 9 кг .

Приложения:
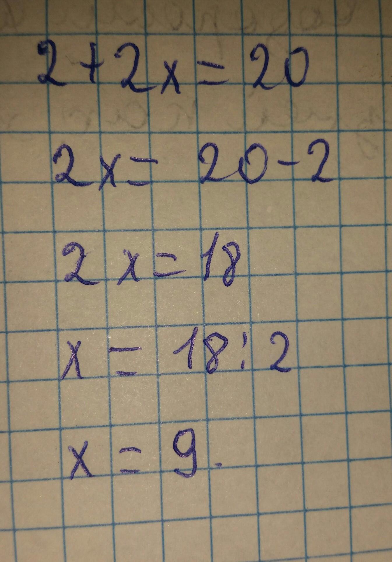
Ответ дал: tasskailakhunova
62

3х+2=10+5+5

3х+2=20

3х=20-2

3х=18

х=18÷3

х=6

( 3×6+2=10+5+5

20=20 )

Вас заинтересует