• Предмет: Алгебра
  • Автор: oreh228007
  • Вопрос задан 3 года назад

прошу помощи!!!!!!:)

Приложения:

Ответы

Ответ дал: damirbekovna
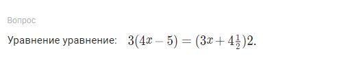
1

Ответ:

12x-15=6x+9

12x-6x=9+15

6x=24

x=4

Вас заинтересует