Ответы
Ответ дал:
0
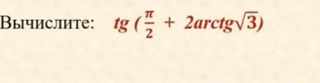
алгебра, думаю все понятно
Объяснение:
100%
Приложения:

anonimus48483939:
Спасибо огромное
Вас заинтересует
2 года назад
2 года назад
2 года назад
2 года назад
9 лет назад