• Предмет: Алгебра
  • Автор: Аноним
  • Вопрос задан 3 года назад

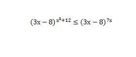
ПОЖАЛУЙСТА, СРОЧНО!!! Найдите сумму целых решений неравенства.

Приложения:

Ответы

Ответ дал: m11m
1

Ответ:

!!!!!!!!!!!!!!!!!!!!!!!!!!!!!!!!!!!!!!!!!!!!!!!!!!!!!!!!!!!!!!!!!!!!!!!!!!!!!!!!!!!!

Объяснение:

Приложения:
Вас заинтересует