Ответы
Ответ дал:
2
Пошаговое объяснение:
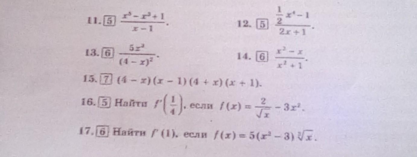
смогла только 16 и 17...
Приложения:

radkir238:
спасибо
Вас заинтересует
2 года назад
2 года назад
2 года назад
2 года назад
7 лет назад
7 лет назад
9 лет назад