• Предмет: Математика
  • Автор: Аноним
  • Вопрос задан 3 года назад

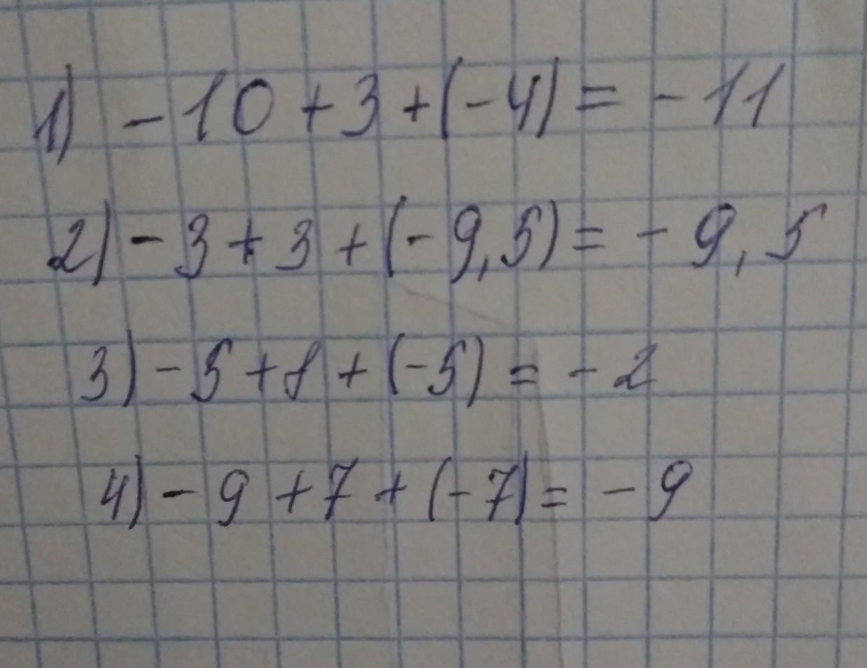
помогите пожалуйста 1) - 10 + 3 + (- 4) - 3 + 3 + (- 9, 5) ; 2) - 5 + 8 + (- 5) 4) - 9 + 7 + (- 7) .


mali2525: можете написать подробнее там ничего не понятно
Аноним: 380.1) - 10 + 3 + (- 4). 2) - 3 + 3 + (- 9, 5) ; 3) - 5 + 8 + (- 5) 4) - 9 + 7 + (- 7) вот отдельно примеры.
mali2525: во втором 9,5 же
Аноним: да
zhalgasbay20: 1)-11.2)-9,5.3)-2.4)-9
zhalgasbay20: Блмим дұрс па дұрс емес па

Ответы

Ответ дал: ssssii10hhhh
2

Пошаговое объяснение:

...................

Приложения:

jfhdfigjvi: вы поняли как делать?
jfhdfigjvi: там нужно вместо примеров хомяков, описать виды двойников волка )
jfhdfigjvi: и там описание в таблицах нужно описать про двойников волка
jfhdfigjvi: волк двойник может быть полярный волк?
Ответ дал: mali2525
1

Пошаговое объяснение:

Желаю тебе удачи и успехов в учебе ❣️❣️❣️

Приложения:
Вас заинтересует