Ответы
Ответ дал:
4
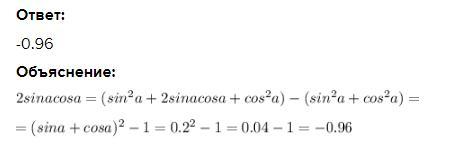
Ответ:
-0.96
Объяснение:
Приложения:

ata221:
здравствуйте
Вас заинтересует
2 года назад
2 года назад
2 года назад
7 лет назад
7 лет назад
9 лет назад
9 лет назад