• Предмет: Алгебра
  • Автор: soniuwu
  • Вопрос задан 3 года назад

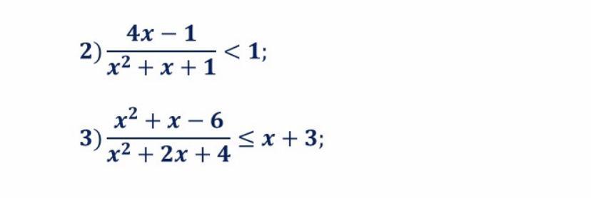
помогите пожалуйста! надо решить неравенства.

Приложения:

Ответы

Ответ дал: telepyzikkys
0

Ответ:

2) x є [-3:+безкінечність)

Приложения:
Вас заинтересует