Ответы
                                            Ответ дал: 
                                                                                    
                                        
                                            
                                                
                                                
                                                
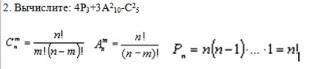
                                                    13
                                                
                                            
                                        
                                    Ответ:
овтаоыьовлыьвлтаьцлвлыь
Приложения:
                     
                            
                    slmtv:
                    там минус
                
            
                    
                    где
                
            
                    
                    а нет правильно
                
            
                    
                    молодец
                
            Вас заинтересует
                
                        2 года назад
                    
                
                        2 года назад
                    
                
                        2 года назад
                    
                
                        2 года назад
                    
                
                        7 лет назад
                    
                
                        7 лет назад
                    
                