Ответы
Ответ дал:
1
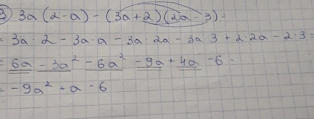
номер 2 у меня что-то не получилось, ну вот что есть то есть
Приложения:


Ответ дал:
0
Второй номер вот еще тебе
Приложения:

Вас заинтересует
2 года назад
2 года назад
2 года назад
2 года назад
7 лет назад
7 лет назад
9 лет назад