• Предмет: Алгебра
  • Автор: Coolmichailo
  • Вопрос задан 3 года назад

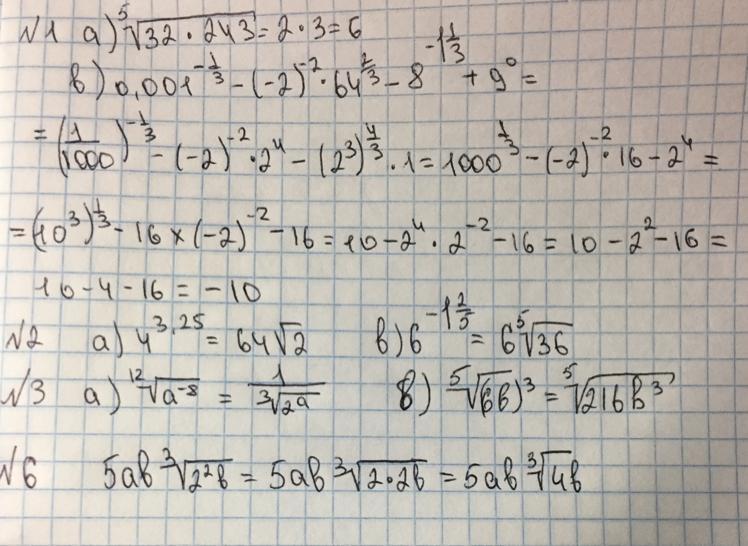
Помогите решить второй вариант кроме 4 и 5

Приложения:

Ответы

Ответ дал: tihonovaleria2408
2
Обращайся ))))))))))))
Приложения:
Ответ дал: PinkesRose
2

Ответ:

Объяснение:1) а)2*3=6 б)0.1-(64*64/64)^1/3-1/8^4/3+1=0,1-4-1/16+1=-3+3/80=2целых77\80

2)4^3целых 1/4=(4^12*4)^1/4=64*4^1/4=64*корень из 2

6^-1 целая 2\5=6^-7\5=1/((6^5)*6^2)=1          

                                                             6*(36)1/5

3)а в степени -2/3

(6в) в степени3/5

5)(125 а^5 в^4) в степени 1/5

Вас заинтересует