• Предмет: Математика
  • Автор: mironenkodaniil46
  • Вопрос задан 3 года назад

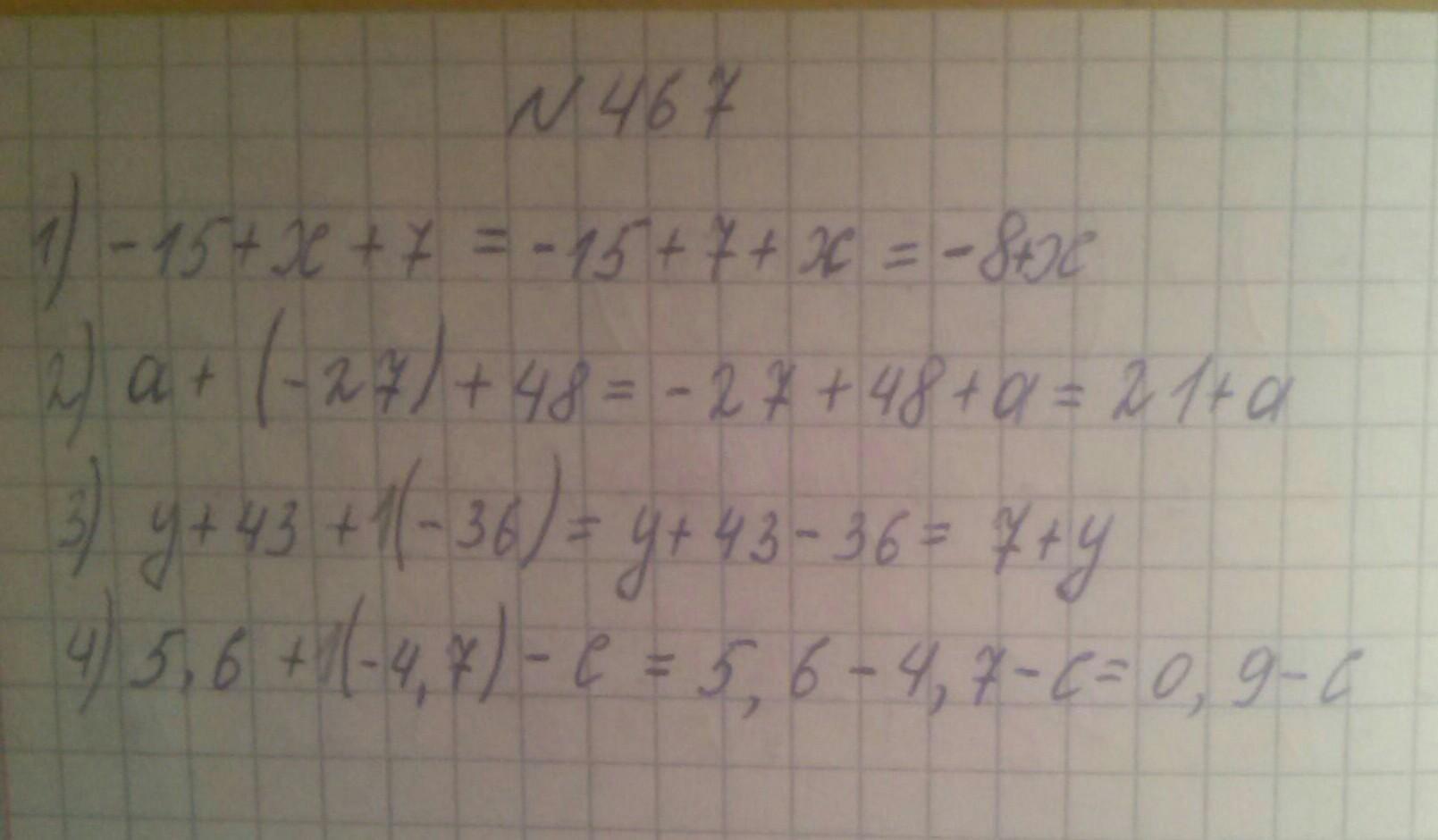
помогите пожалуйста номер 467 все 4 задания 468 и 469 делать не надо​

Приложения:

Ответы

Ответ дал: Ivanova207
2

Решение смотрите на фото.

Приложения:

TankistBlitz2020: Всё верно, только единственное, в первом примере, желательно было написать не "- 8 + x", а "x - 8".
Ivanova207: хорошо, спасибо
Вас заинтересует