• Предмет: Алгебра
  • Автор: ArtemByrlya
  • Вопрос задан 3 года назад

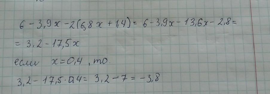
Упростить выражение 6-3,9x-2(6,8x+1,4) и найти его значение при x = 0,4

Ответы

Ответ дал: PinkesRose
1

Ответ:

-3.8

Объяснение:6-3.9х-13.6х-2.8=3.2-17.5х   подставим: 3.2-0.4*17.5=3.2-7=-3.8

Ответ дал: 13Anita13
1

Ответ:

лвдвщсоаьаьопшщпзакбьк))))))

Приложения:
Вас заинтересует