Ответы
Ответ дал:
11
Ответ:
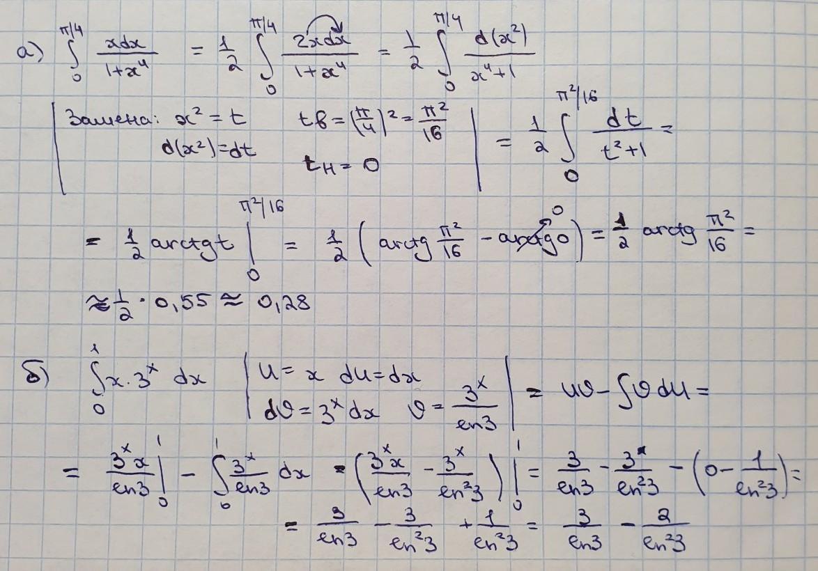
решение на фотографии
Приложения:

Аноним:
спасибо большое
Вас заинтересует
2 года назад
2 года назад
2 года назад
7 лет назад
7 лет назад