Пожалуйста помогите с 3 и 4 заданием(если есть возможность,пришлите фото с решением на листочке)Буду признателен.
Приложения:

Ответы
Ответ дал:
0
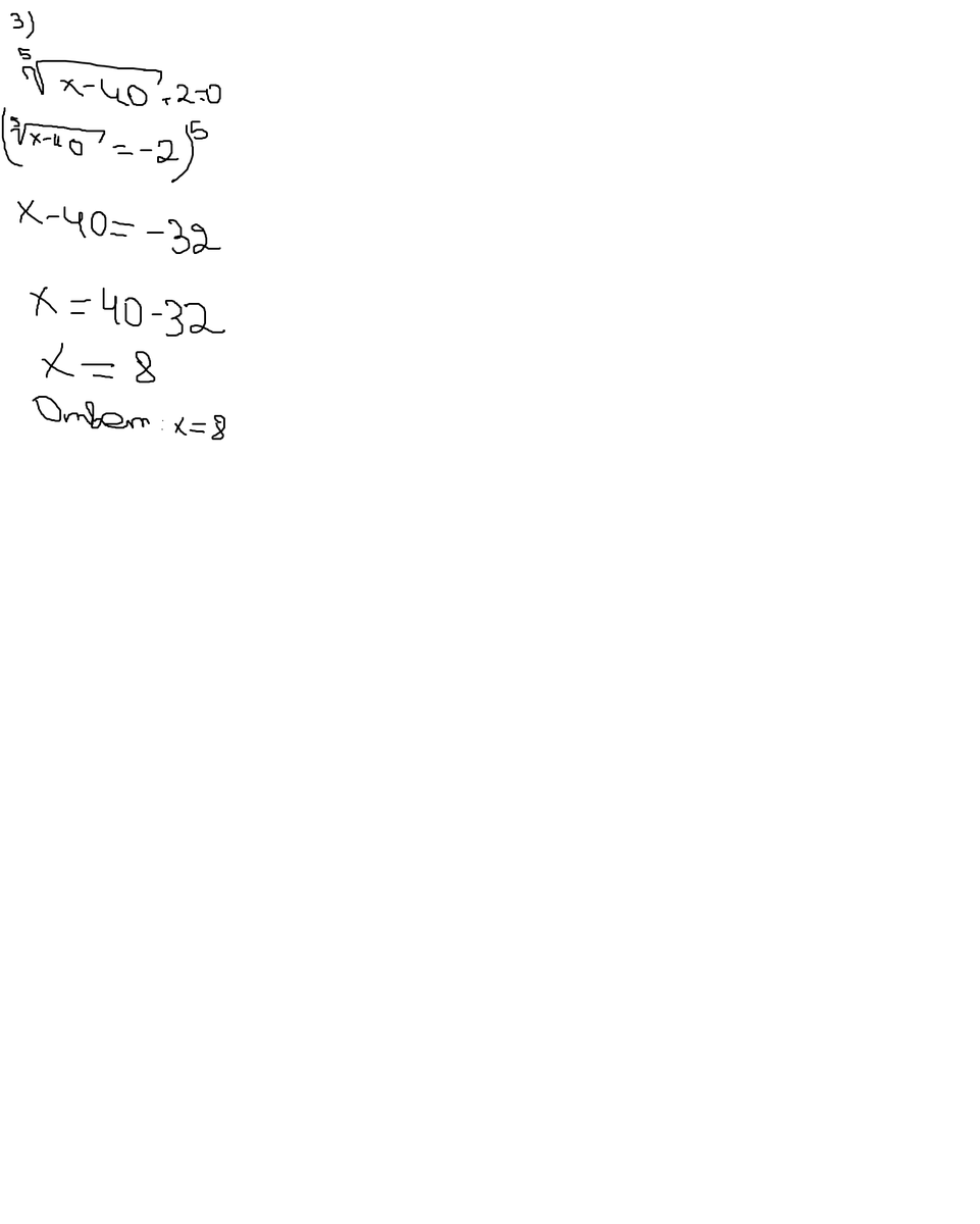
минус 32 так как степень не чётная
Приложения:

Ответ дал:
0
'''''''''''''''''''''''''''''''''''''''''''''''''''''
Приложения:

Вас заинтересует
2 года назад
2 года назад
8 лет назад
10 лет назад
10 лет назад
10 лет назад