Ответы
Ответ дал:
0
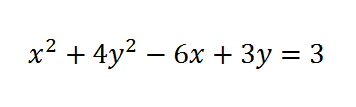
Зто уравнение эллипса,
.перевод его в каноническую форму требует довольно сложных преобразований - они даны в приложении.
.перевод его в каноническую форму требует довольно сложных преобразований - они даны в приложении.
Приложения:
Вас заинтересует
3 года назад
3 года назад
8 лет назад
11 лет назад
11 лет назад