• Предмет: Математика
  • Автор: polina18175
  • Вопрос задан 3 года назад

Помогите решить уравнения даю 15 баллов!!!

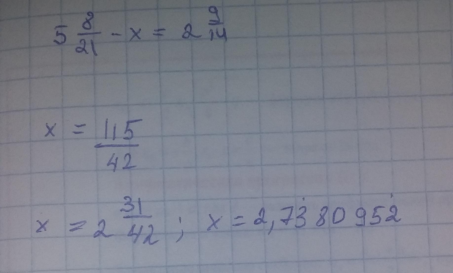
Приложения:

Ответы

Ответ дал: yna1710200545
1

Ответ:

Пошаговое объяснение:

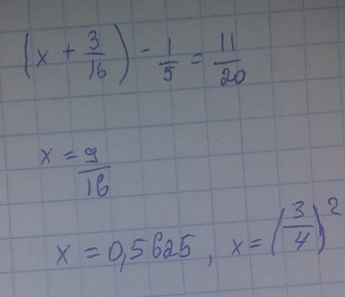
Приложения:
Вас заинтересует