• Предмет: Математика
  • Автор: hlebg46
  • Вопрос задан 3 года назад

ПОМОГИТЕ ПОЖАЛУЙСТА СПОСНО НАДО ​

Приложения:

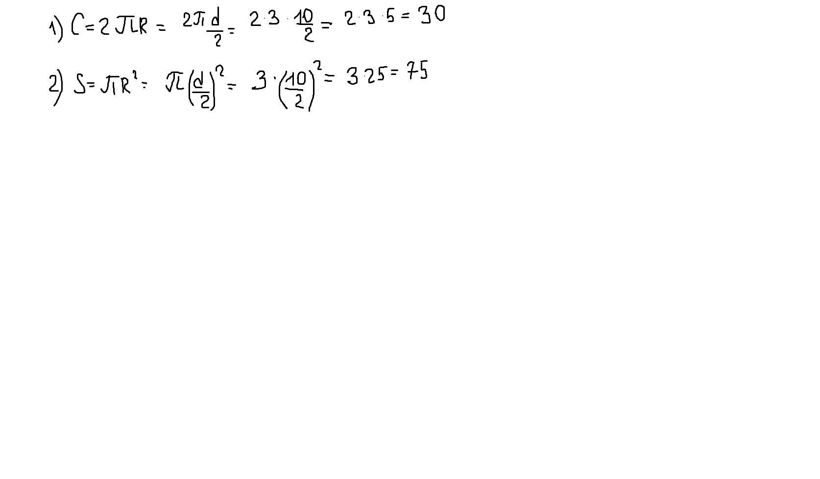
Ответы

Ответ дал: katy770
1

Ответ:

Привет)

Решение во вложении, будут вопросы, задавай)

Если не сложно, отметь пожалуйста как лучший ответ))

Пошаговое объяснение:

Приложения:

hlebg46: ты просто лучшая
hlebg46: спасибо огромное
Вас заинтересует