• Предмет: Алгебра
  • Автор: rusbik0128
  • Вопрос задан 3 года назад

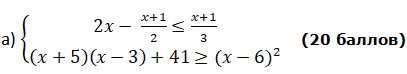
Помогите по Алгебре 9класс срочнооооо!!!!!!75Баллов!
Решите системы неравенств:

Приложения:

Ответы

Ответ дал: andrejsatuho
1

Ответ:

Вот так там на решении все видно просто нужно 20 символов

Приложения:

rusbik0128: спасибо
Вас заинтересует