• Предмет: Алгебра
  • Автор: malinkinadariya
  • Вопрос задан 3 года назад

Найти производную сложной функции:
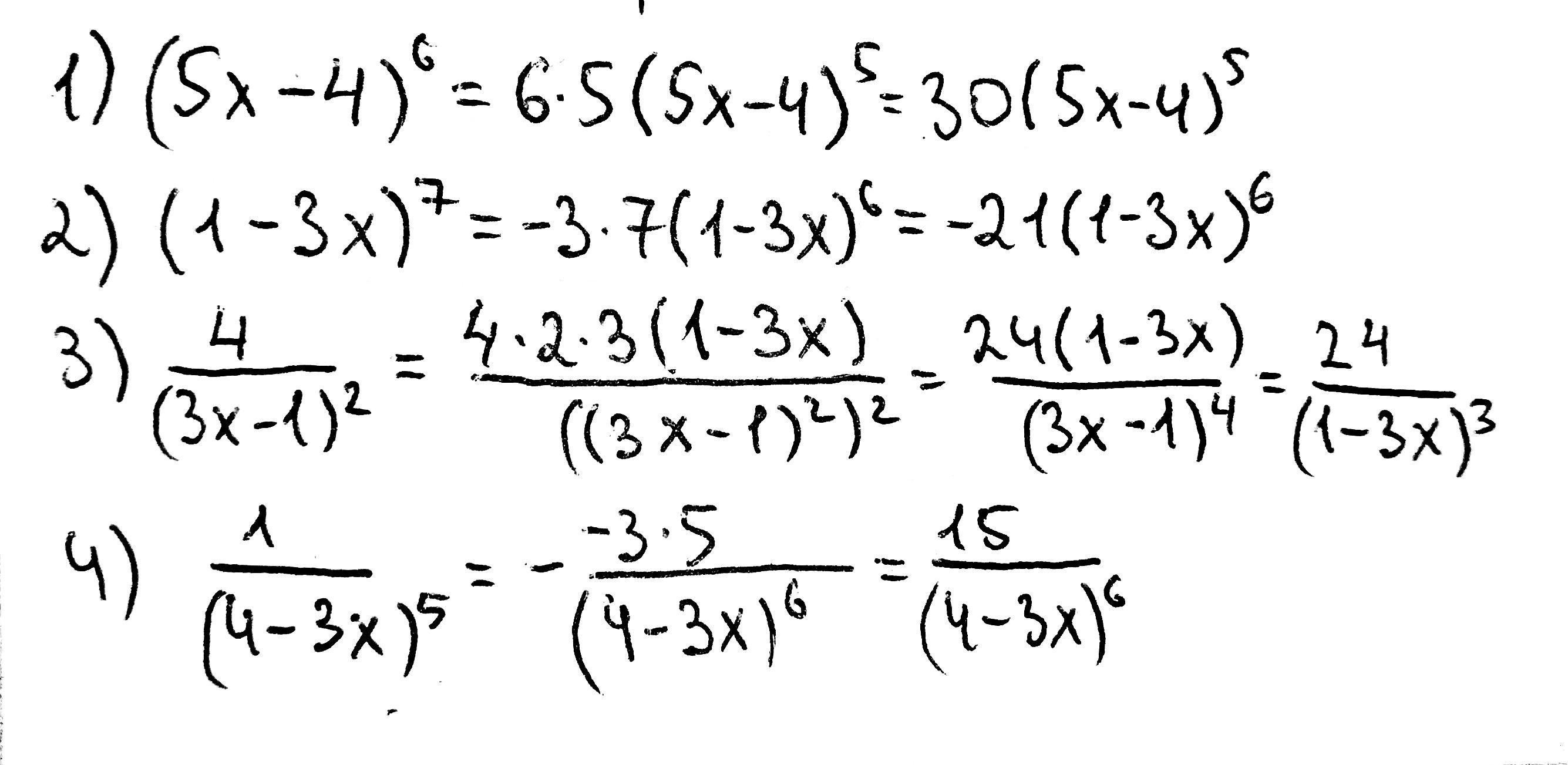
1) (5х-4)^6
2) (1-3x)^7
3) 4/(3x-1)^2
4) 1/(4-3x)^5
хотя-бы 1 решите, буду очень благодарна

Ответы

Ответ дал: Ифигения
1

Ответ:

Объяснение: во вложении

Приложения:

malinkinadariya: спасибо большоеее
Ифигения: Не за что)
Вас заинтересует