• Предмет: Математика
  • Автор: seempaaai
  • Вопрос задан 3 года назад

Два велосипедиста одновременно отправляются в 112-километровый пробег. Первый едет со скоростью на 9 км/ч большей, чем второй, и прибывает к финишу на 4 часа раньше второго. Найдите скорость велосипедиста, пришедшего к финишу вторым. ​

Ответы

Ответ дал: Ифигения
3

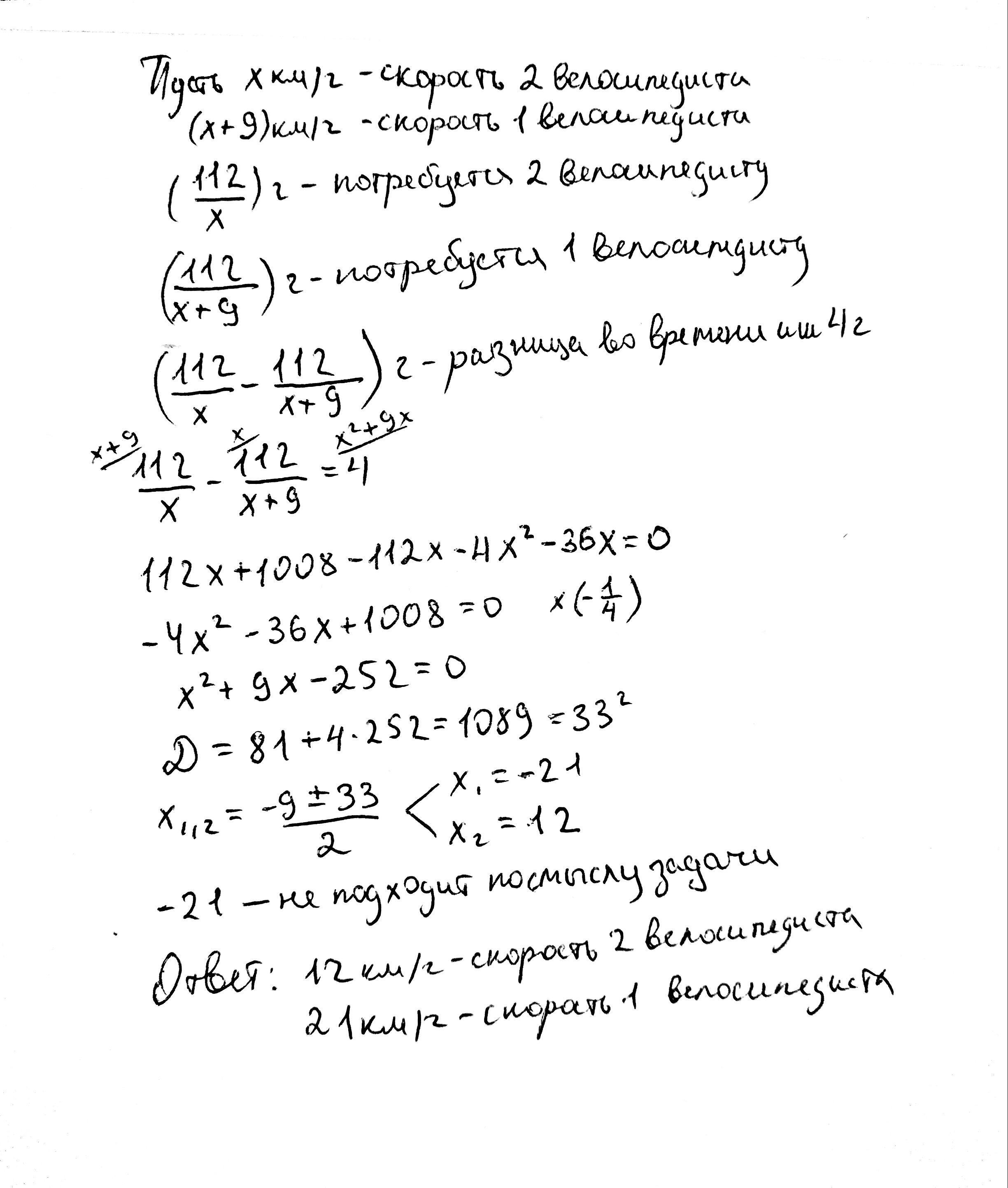
Ответ: 12 км/ч

Пошаговое объяснение:

Приложения:
Ответ дал: alexlex200707
1

Ответ:

Пошаговое объяснение:

Расстояние - 112 км

Скорость второго велосипедиста  - х км/час

скорость первого велосипедиста ( х+9 ) км/час

Время , которое затратил первый велосипедист : 112/(х +9)часов

Время , которое затратил второй велосипедист - 112/х и это на 4 часа больше , чем первый

составим уравнение :

112/х - 112/(х+9)= 4

112(х+9) - 112х = 4х(х+9)

112х+1008 - 112х = 4х²+36х

4х²+36х-1008=0   | : 4

х²+9х- 252 = 0

D= 9²-4*(-252)= 81+1008=1089

√D= 33

х₁= (-9+√D)/2 = (-9+33)/2= 24/2 = 12 км/час

х₂= (-9-33)/2= -42/2 = -21  не подходит  так как отрицательный

Скорость второго велосипедиста - 12 км/час

Скорость первого велосипедиста

12+9= 21 км/час

Ответ : скорость велосипедиста , который пришел вторым - 12 км/час

Вас заинтересует