• Предмет: Алгебра
  • Автор: rubbishmerc
  • Вопрос задан 3 года назад

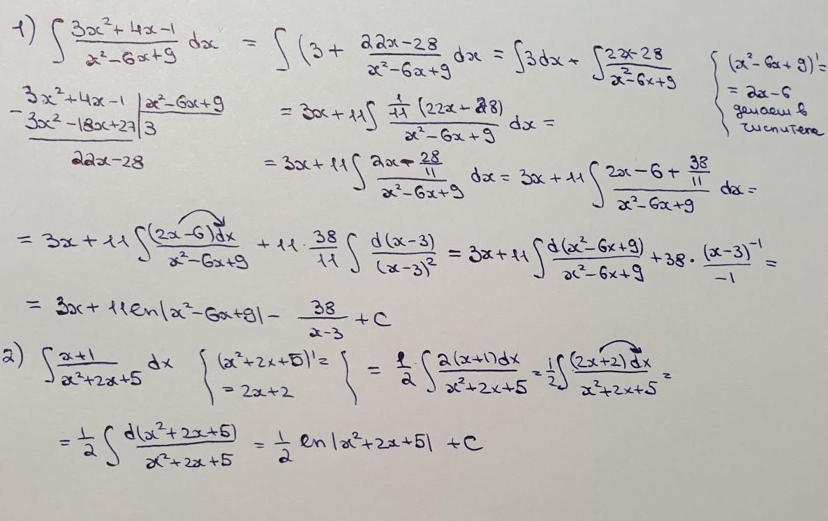
Найти интегралы рациональных функций
1) \int\limits {\frac{3x^{2}+4x-1 }{x^{2} -6x+9} } \, dx
2) \int\limits {\frac{1+x}{x^{2}+2x+5 } } \, dx

Ответы

Ответ дал: Miroslava227
1

Ответ:

решение на фотографии

Приложения:
Вас заинтересует