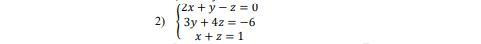
Решите систему уравнений, пользуясь формулой Крамера
систему уравнений, пользуясь формулами Крамера:
Приложения:

Ответы
Ответ дал:
1
Ответ:
решение на фотографии
Приложения:

danilloginov7533:
Спасибо
Вас заинтересует
2 года назад
2 года назад
2 года назад
7 лет назад
7 лет назад
9 лет назад
9 лет назад