• Предмет: Математика
  • Автор: vicksolovea
  • Вопрос задан 3 года назад

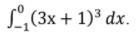
Інтегрування методом заміни

Приложения:

Ответы

Ответ дал: sergeeve023
0

Ответ:

украинцам не помогуте

а если честно 76

Пошаговое объяснение:


sergeeve023: а сори
sergeeve023: не туда ответил
vicksolovea: та за шо
Вас заинтересует
2 года назад