• Предмет: Математика
  • Автор: larisa66ri66667a
  • Вопрос задан 3 года назад

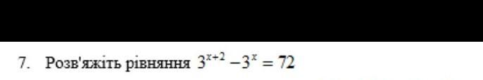
помогите пожалуйста, можете на листочке решить МАТЕМАТИКА​

Приложения:

Ответы

Ответ дал: mishsvyat
0

Ответ:

x = 2

Пошаговое объяснение:

3^{x+2}-3^x=72\\3^x\cdot 3^2-3^x=72\\3^x\cdot(3^2-1)=72\\3^x\cdot8=72\\3^x=9\\x=2

Вас заинтересует