Ответы
Ответ дал:
0
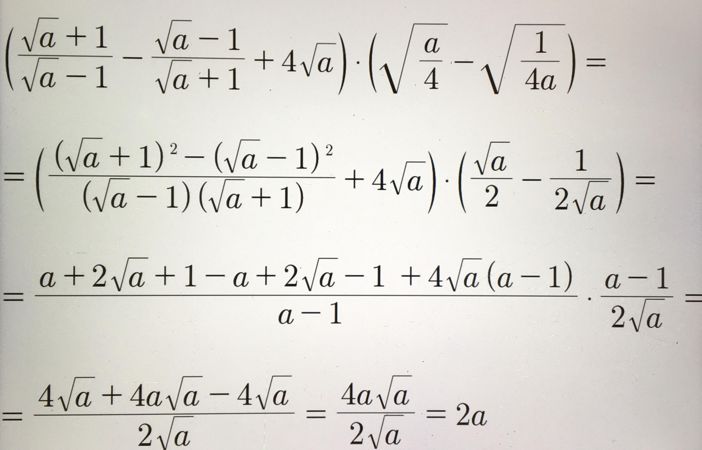
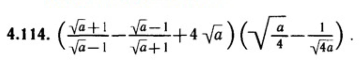
Ответ:
Пошаговое объяснение:
.................................
Приложения:

Вас заинтересует
2 года назад
2 года назад
7 лет назад
9 лет назад