Ответы
Ответ дал:
1
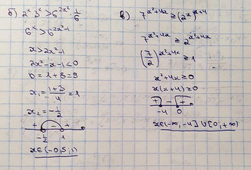
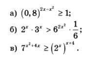
Ответ:
решение на фотографиях
Приложения:


Вас заинтересует
2 года назад
2 года назад
2 года назад
7 лет назад
7 лет назад
9 лет назад