• Предмет: Математика
  • Автор: dolgovayuliya1julia
  • Вопрос задан 3 года назад

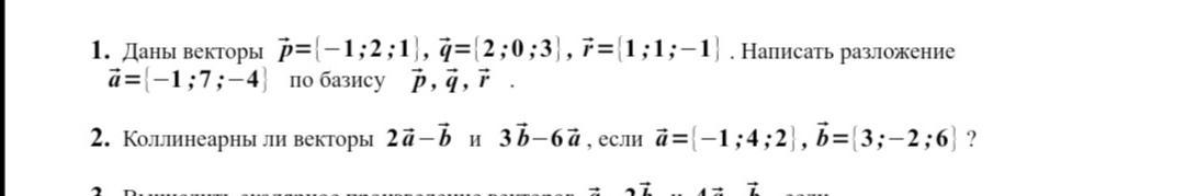
Помогите выполнить задания

Приложения:

Ответы

Ответ дал: rumanezzo
1

Ответ:

Решение в файле! Внимание! Через матрицы!

Приложения:
Вас заинтересует