• Предмет: Математика
  • Автор: ritasilaeva2009
  • Вопрос задан 3 года назад

15 баллов. Срочно! Пожалуйста

Приложения:

Ответы

Ответ дал: shkila1
2

Пошаговое объяснение:

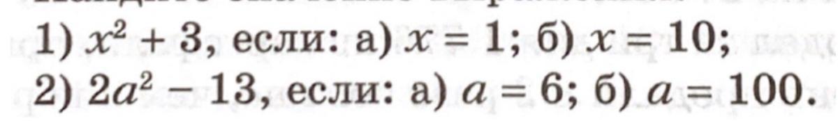
1. а) х=1, 1^2+3 = 1+4=14

  б) х=10, 10^2+3= 100+3 + 103

2. а) a=6, 2а^2-13, 2*6^2 - 13 = 2*36 -13 = 59

   б) a=100, 2*100^2 - 13 = 20.000 - 13 = 19.987


ritasilaeva2009: Вы меня так выручили!
Вас заинтересует