• Предмет: Алгебра
  • Автор: viki0290
  • Вопрос задан 3 года назад

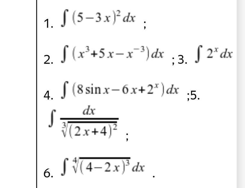
помогите пожалуйста с интегралами, не понимаю вообще в них, срочно нужно сдать кр​

Приложения:

Ответы

Ответ дал: table123
1

Ответ:

Объяснение:  (И - обозначение интеграла,    ^ -знак степени)

1)  =И (25-30x+9x^2) dx=25x-30x^2 /2 +9x^3 /3+c=25x-15x^2+3x^3+c

2) =x^4/ 4 +5x^2 /2-x^-2/ -2 +c=x^4/ 4+2,5x^2 +x^-2/ 2+c

3) =2^x/ ln2 +c

4) =-8cosx-6x^2/ 2 +2^x/ ln2+c=-8cosx-3x^2+2^x/ ln2+c

Вас заинтересует