• Предмет: Алгебра
  • Автор: Аноним
  • Вопрос задан 3 года назад

дам 44б срочноооо прошууу ​

Приложения:

Ответы

Ответ дал: table123
0

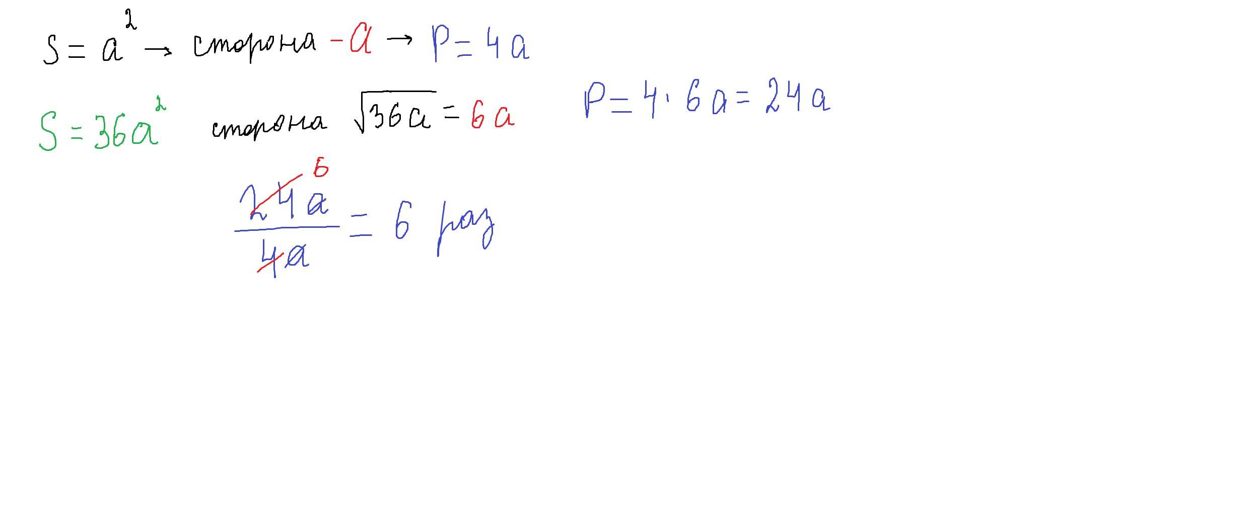
Ответ: в 6раз

Объяснение:

P1/P2=k   (к-коэффициент подобия),   S1/S2=k^2=36,  k=6,  

Ответ дал: parus77
0

Ответ:

периметр увеличится в 6 раз

Объяснение:

Приложения:
Вас заинтересует