• Предмет: Алгебра
  • Автор: olabardokina0016boom
  • Вопрос задан 3 года назад

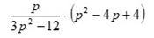
Выполните умножение:
СРОЧНО!!!

Приложения:

Ответы

Ответ дал: manyny06
0

Ответ:

решение смотри на фотографии

Объяснение:

Приложения:
Вас заинтересует