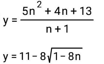
Найдите все целые значения переменной n, при каждом из которых спаведливо равенство (5n^2+4n+13)/(n+1)=11-8√(1-8n)
Ответы
Ответ дал:
0
Ответ:
область определения:n≠-1
пересечение с осью ординат (0 , 13)
Приложения:

Ответ дал:
0
Ответ:
область определения - n≠-1
пересечение с осью координат (0 , 3)
Пошаговое объяснение:
Приложения:

Вас заинтересует
2 года назад
2 года назад
2 года назад
2 года назад
7 лет назад
7 лет назад
9 лет назад