Ответы
Ответ дал:
0
Есть вопросы по решению?
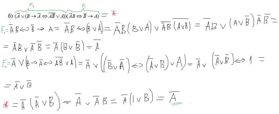
Приложения:


Вас заинтересует
2 года назад
7 лет назад
7 лет назад