• Предмет: Информатика
  • Автор: bogdanmushinski36634
  • Вопрос задан 3 года назад

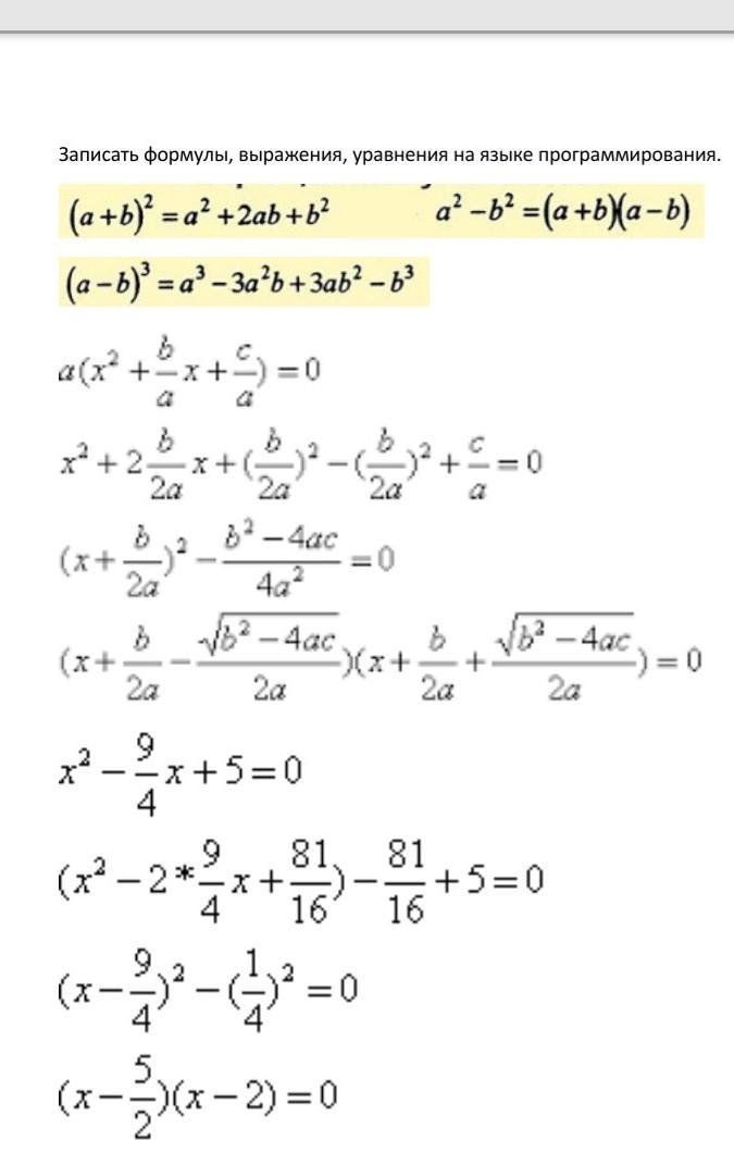
помогите срочно!!!, перевести на язык программирования.​

Приложения:

Ответы

Ответ дал: Аноним
0

(a + b) ** 2 = a ** 2*a*b + b ** 2

a ** - b ** = (a + b)(a - b)

(a - b) ** 3 = a ** 3 - 3*a**3*b +3*a*b - b ** 3

a*(x**2+(b/a)*x+(c/a)) = 0

x**2+2*(b/2*a)*x+(b/2*a)**2-(b/2*a)**2 + (c/a) = 0

Корче если нет знака между числами ставишь *, степень-**

Корень будет так:

\sqrt[]{b^{2}-4ac} = (b ** 2 - 4 * a * c) ** 0.5

Вас заинтересует