• Предмет: Алгебра
  • Автор: timacomvitalev
  • Вопрос задан 3 года назад

пж помогите прооошуууу пожалуйста у меня сооооррррр​

Приложения:

Ответы

Ответ дал: parus77
0

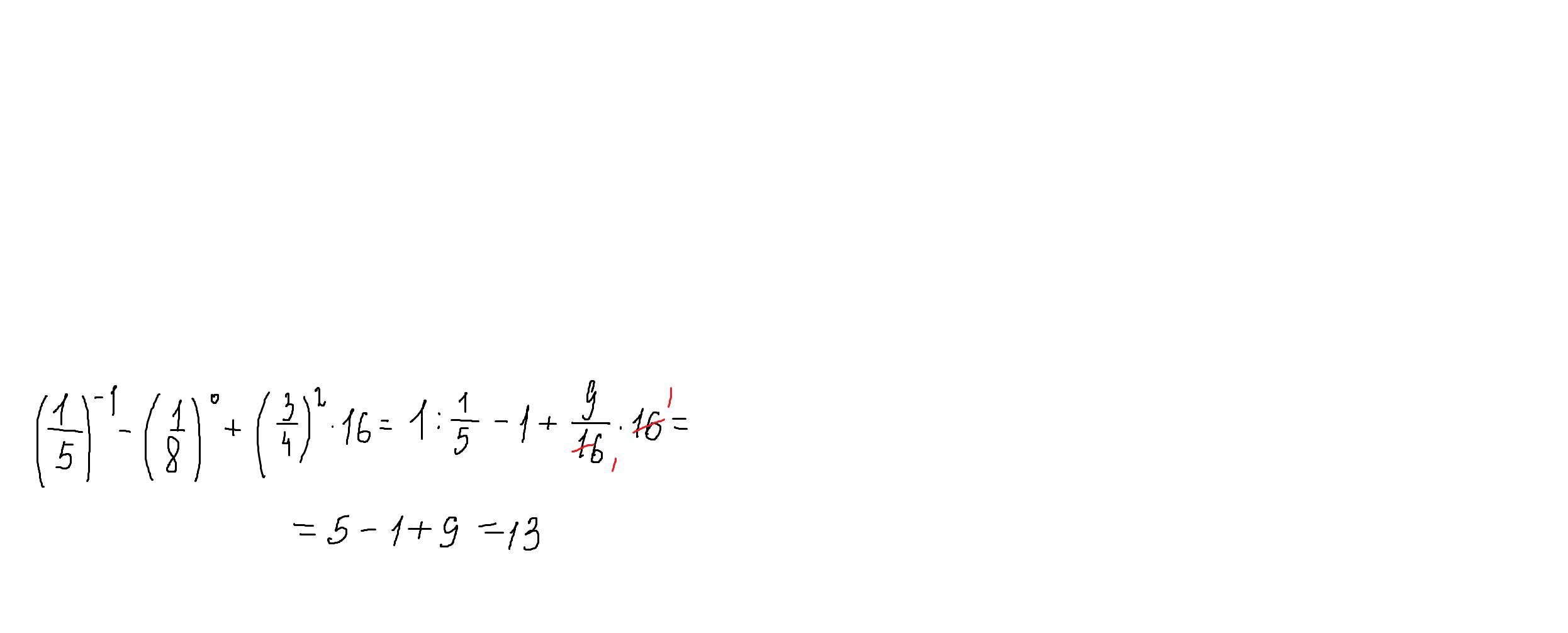
Ответ:

13

Объяснение:

решение внизу

Приложения:
Вас заинтересует