Ответы
Ответ дал:
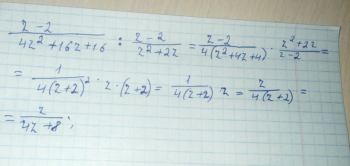
1
если было полезным, отметь как лучший ответ
Приложения:


emiliya86:
Спасибо большое !)
Вас заинтересует
2 года назад
2 года назад
2 года назад
2 года назад
7 лет назад
7 лет назад
9 лет назад
9 лет назад