• Предмет: Математика
  • Автор: irinaginda38
  • Вопрос задан 3 года назад

только в и г пожалуйста,очень важно и нужно!!​

Приложения:

Ответы

Ответ дал: rumanezzo
1

Ответ:

Пошаговое объяснение:

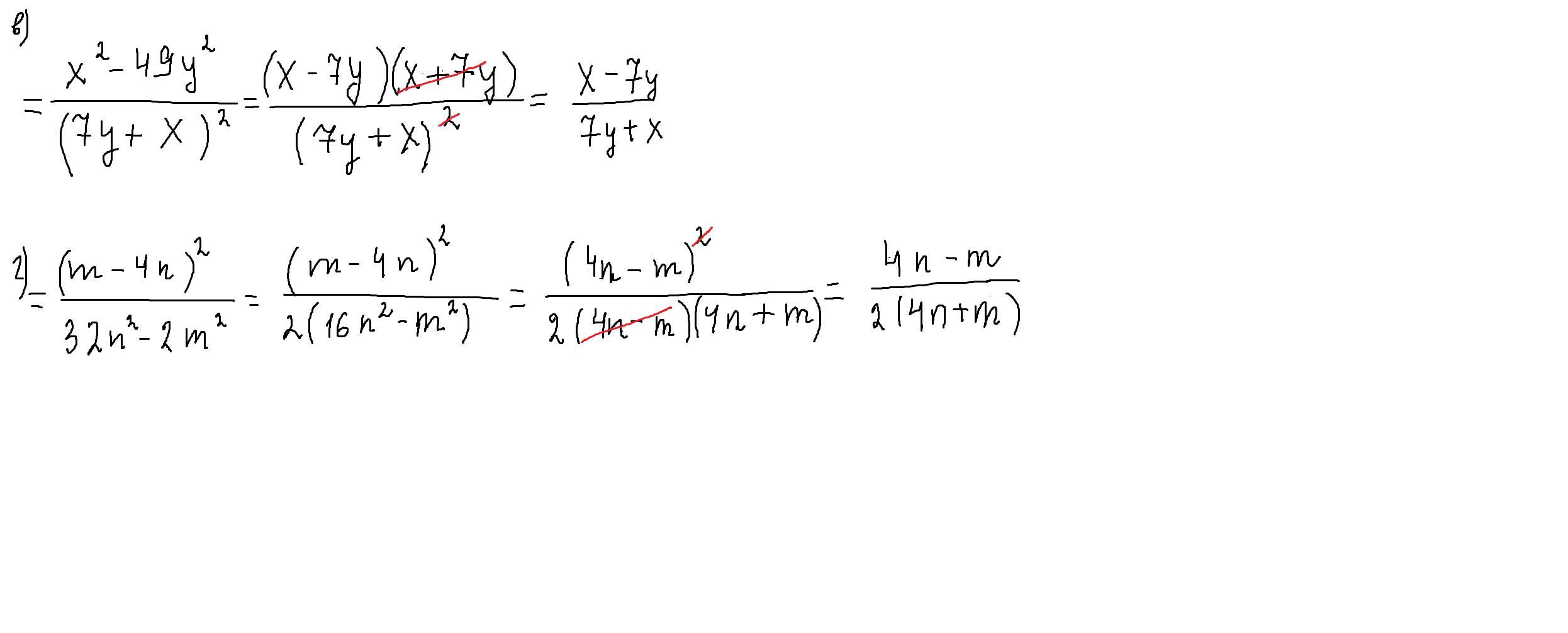
в)=\frac{(x-7y)(x+7y)}{(7y-x)^{2}}=\frac{x+7y}{x-7y}

г)=\frac{(m-4n)^{2}}{2(4n-m)(4n+m)} =\frac{4n-m}{2(4n+m)}


parus77: куда делась 2 в знаменателе?
rumanezzo: зоркость - приветствуется - сейчас поправлю)
parus77: просто сравниваю со своим ответом,если разные-начинаю проверять свое решение,а потом решение соседа.У меня тоже иногда бывают опечатки.(не на ту клавишу нажала -и всё).
Ответ дал: parus77
1

Ответ:

Пошаговое объяснение:

решение внизу

Приложения:
Вас заинтересует