• Предмет: Математика
  • Автор: maer04
  • Вопрос задан 3 года назад

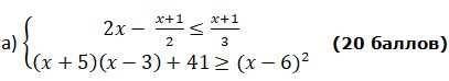
помогите пожалуйста, ДАЮ 65 БАЛЛОВ, надо всё решить

Приложения:

Ответы

Ответ дал: ekaterinachizhik2005
1

Пошаговое объяснение:

7,5<2-5х<13,5

5,5<-5х<11,5

-1,1>х>-2,3

(2(√6-2х)(х^2-16)+6):(х^2-16)

Вас заинтересует