Ответы
Ответ дал:
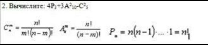
2
Ответ:
ответ в фото,!!!!!!!!!!!!
Приложения:

Вас заинтересует
2 года назад
2 года назад
2 года назад
7 лет назад
7 лет назад
9 лет назад