• Предмет: Алгебра
  • Автор: anastasiadid000
  • Вопрос задан 3 года назад

помогите пожалуйста за 1 час нужно сделать ​

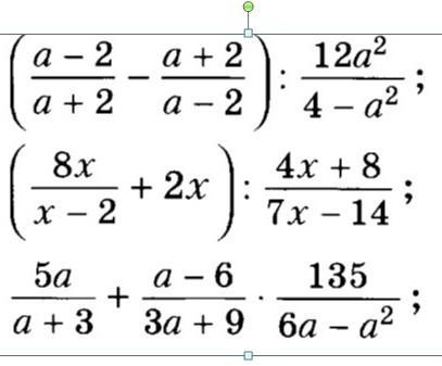
Приложения:

Ответы

Ответ дал: Zombynella
1

Ответ:

В решении.

Объяснение:

1) [(a-2)/(a+2) - (a+2)/(a-2)] : 12a²/(4-a²)= 2/3а;

a) (a-2)/(a+2) - (a+2)/(a-2)=

общий знаменатель (a+2)(a-2), надписываем над числителями дополнительные множители:

=[(a-2)*(a-2) - (a+2)/(a+2)] / (a+2)/(a-2)=

=[(a-2)² - (a+2)²] / (a+2)/(a-2)=

=[(a²-4a+4) - (a²+4a+4)] / (a+2)/(a-2)=

=(a²-4a+4 - a²-4a-4) / (a+2)/(a-2)=

= -8a / (a+2)/(a-2)=

= -8a / (a²-4);

б) [-8a / (a²-4)] : [12a²/(4-a²)]=

= [-8a / (a²-4)] : [12a²/ -(a²-4)]=

= [ -8a / (a²-4)] : [-12a²/ (a²-4)]=

= [ 8a * (a²-4)] / [(a²-4) * 12a²]=

сократить (разделить) 8а и 12а² на 4а, (a²-4) и (a²-4) на (a²-4):

= 2/3а;

2) [8x/(x-2) + 2x] : [(4x+8)/(7x-14)]= 7х/2;

a) 8x/(x-2) + 2x=

общий знаменатель (x-2), надписываем над числом дополнительный множитель:

= [8х + (x-2)*2х] / (x-2)=

=(8x+2x²-4x) / (x-2)=

=(4x+2x²) / (x-2)=

= [2x(2+x)] / (x-2);

б) [[2x(2+x)] / (x-2)] : [(4x+8)/(7x-14)]=

=[[2x(2+x)] / (x-2)] : [4(x+2)/7(x-2)]=

=[2x(2+x) * 7(x-2)] / [(x-2) * 4(x+2)]=

сократить (разделить) 2 и 4 на 2, (x-2) и (x-2) на (x-2), (x+2) и (x+2) на (x+2):

= 7х/2;

3) 5а/(а+3) + (а-6)/(3а+9) * 135/(6а-а²)= 5(а-3)/а.

а) [(а-6)/(3а+9)] * [135/(6а-а²)]=

=[(а-6)/3(а+3)] * [135/ -а(а-6)]=

=[(а-6) * 135] / [3(а+3) * -а(а-6)]=

сократить 135 и 3 на 3, (а-6) и (а-6) на (а-6):

= -45/а(а+3);

б) 5а/(а+3) + [-45/а(а+3)]=

=5а/(а+3) - (45/а(а+3)=

общий знаменатель а(а+3):

=(а*5а - 45) / а(а+3)=

=(5а²-45) / а(а+3)=

=[5(a²-9)] / а(а+3)=

=[5(a-3)(a+3)] / а(а+3)=

сократить (а+3) и (а+3) на (а+3):

= 5(а-3)/а.

Вас заинтересует