• Предмет: Математика
  • Автор: polina89296183025
  • Вопрос задан 3 года назад

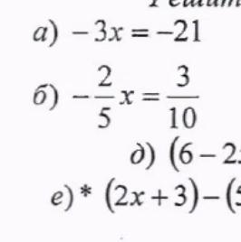
СРОЧНО только б Даю 10 баллов

Приложения:

Ответы

Ответ дал: Аноним
2

Ответ:

 -  \frac{2}{5}x =  \frac{3}{10}  \\  -  \frac{5}{2}  \times ( -  \frac{2}{5} )x =  -  \frac{5}{2}  \times  \frac{3}{10}  \\ x =  -  \frac{1}{2}  \times  \frac{3}{2}  \\ x =  -  \frac{3}{4}

Вас заинтересует