• Предмет: Алгебра
  • Автор: Аноним
  • Вопрос задан 3 года назад

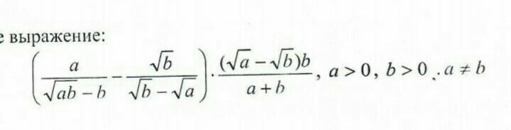
Упрости выражение,сделайте пж!​

Приложения:

Ответы

Ответ дал: m11m
2

Ответ:

!!!!!!!!!!!!!!!!!!!!!!!!!!!!!!!!!!

Объяснение:

Приложения:

Аноним: спасибо
Ответ дал: igorkrasnopolskyi
1

Відповідь:

\sqrt{b}

Пояснення:

(\frac{a}{\sqrt{ab} -b} - \frac{\sqrt{b}}{\sqrt{b}-\sqrt{a} })  \frac{(\sqrt{a}-\sqrt{b})b}{a+b}= \frac{a}{\sqrt{ab} -b} \frac{(\sqrt{a}-\sqrt{b})b}{a+b}-\frac{\sqrt{b}}{\sqrt{b}-\sqrt{a} }\frac{(\sqrt{a}-\sqrt{b})b}{a+b}=\frac{a\sqrt{b}}{a+b} + \frac{b\sqrt{b}}{a+b}=\frac{(a+b)\sqrt{b}}{a+b}=\sqrt{b}


Аноним: спасибо
Вас заинтересует