Ответы
Ответ дал:
0
Ответ:
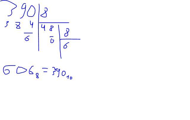
606
Объяснение:
Чтобы перевести из десятичной системы счисления, в другую любую СС, надо:
1. разделить число на СС
2. запомнить остаток
3. поделить целую часть снова на СС
затем когда делить уже будет нечего, записываем ответ - это остатки с КОНЦА.
Приложения:

Вас заинтересует
2 года назад
2 года назад
2 года назад
2 года назад
9 лет назад
9 лет назад