• Предмет: Алгебра
  • Автор: nikitakorolev2
  • Вопрос задан 3 года назад

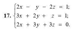
Решить систему линейных уравнений используя обратную матрицу

Приложения:

Ответы

Ответ дал: mishsvyat
2

Решение:

Немного теории. Систему уравнений можно записать в следующем виде:

A·x = b

где A - матрица коэффициентов, x - вектор-столбец переменных, b - вектор-столбец свободных членов.

Умножим эту систему на обратную матрицу коэффициентов A⁻¹ слева. Тогда:

A⁻¹·A·x = A⁻¹·b

x =  A⁻¹·b

Таким образом, чтобы решить систему уравнений, нужно найти обратную матрицу коэффициентов и умножить ее на вектор-столбец свободных членов.

1) Обратная матрица

Будем искать обратную матрицу через алгебраические дополнения. Для начала найдем определитель матрицы A :

\Delta =\left|\begin{array}{ccc}2&-1&-2\\3&2&1\\2&3&3\end{array}\right|=2\cdot \left|\begin{array}{cc}2&1\\3&3\end{array}\right|-(-1)\cdot \left|\begin{array}{cc}3&1\\2&3\end{array}\right|+(-2)\cdot \left|\begin{array}{cc}3&2\\2&3\end{array}\right|=\\\\=2\cdot(2\cdot3-3\cdot1)+1\cdot(3\cdot3-2\cdot1)-2\cdot(3\cdot3-2\cdot2)=\\\\=2\cdot(6-3)+1\cdot(9-2)-2\cdot(9-4)=6+7-10=3

Найдем элементы матрицы алгебраических дополнений:

A_{11}^{*}=(-1)^{1+1}\cdot \left|\begin{array}{cc}2&1\\3&3\\\end{array}\right|=2\cdot3-3\cdot1=6-3=3

A_{12}^{*}=(-1)^{1+2}\cdot \left|\begin{array}{cc}3&1\\2&3\\\end{array}\right|=-(3\cdot3-2\cdot1)=-9+2=-7

A_{13}^{*}=(-1)^{1+3}\cdot \left|\begin{array}{cc}3&2\\2&3\\\end{array}\right|=3\cdot3-2\cdot2=9-4=5

A_{21}^{*}=(-1)^{2+1}\cdot \left|\begin{array}{cc}-1&-2\\3&3\\\end{array}\right|=-((-1)\cdot3-3\cdot(-2))=3-6=-3

A_{22}^{*}=(-1)^{2+2}\cdot \left|\begin{array}{cc}2&-2\\2&3\\\end{array}\right|=2\cdot3-2\cdot(-2)=6+4=10

A_{23}^{*}=(-1)^{2+3}\cdot \left|\begin{array}{cc}2&-1\\2&3\\\end{array}\right|=-(2\cdot3-2\cdot(-1))=-6-2=-8

A_{31}^{*}=(-1)^{3+1}\cdot \left|\begin{array}{cc}-1&-2\\2&1\\\end{array}\right|=(-1)\cdot1-2\cdot(-2)=-1+4=3

A_{32}^{*}=(-1)^{3+2}\cdot \left|\begin{array}{cc}2&-2\\3&1\\\end{array}\right|=-(2\cdot1-3\cdot(-2))=-2-6=-8

A_{33}^{*}=(-1)^{3+3}\cdot \left|\begin{array}{cc}2&-1\\3&2\\\end{array}\right|=2\cdot2-3\cdot(-1)=4+3=7

Тогда:

A^*=\left(\begin{array}{ccc}3&-7&5\\-3&10&-8\\3&-8&7\end{array}\right)

Транспонированная матрица алгебраических дополнений:

(A^*)^T=\left(\begin{array}{ccc}3&-3&3\\-7&10&-8\\5&-8&7\end{array}\right)

Обратная матрица:

A^{-1}=\frac{1}{\Delta} \cdot (A^*)^T

A^{-1}=\frac{1}{3}\cdot \left(\begin{array}{ccc}3&-3&3\\-7&10&-8\\5&-8&7\end{array}\right)

2) Вектор-столбец переменных

x=\frac{1}{3}\cdot \left(\begin{array}{ccc}3&-3&3\\-7&10&-8\\5&-8&7\end{array}\right)\cdot\left(\begin{array}{ccc}1\\1\\0\end{array}\right)=\frac{1}{3} \left(\begin{array}{ccc}3\cdot1+(-3)\cdot1+0\\(-7)\cdot1+10\cdot1+0\\5\cdot1+(-8)\cdot1+0\end{array}\right)=\\\\=\frac{1}{3} \left(\begin{array}{ccc}0\\3\\-3\end{array}\right)=\left(\begin{array}{ccc}0\\1\\-1\end{array}\right)

Ответ:

x₁ = 0;

x₂ = 1;

x₃ = -1.


nikitakorolev2: Ты лучший, бро
Вас заинтересует