• Предмет: Математика
  • Автор: Аноним
  • Вопрос задан 3 года назад

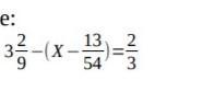
помогите пожалуйста!!!!! я прошу вас! ​

Приложения:

Ответы

Ответ дал: MarfaBoi2007
0

Ответ:

х=

Пошаговое объяснение:

3 2/9-(х-13/54)=2/3

х-13/54=3 2/9-2/3

х-13/54=2 5/9

х=2 5/9+13/54

х=2 43/54

Вас заинтересует