• Предмет: Алгебра
  • Автор: hendzikim
  • Вопрос задан 3 года назад

СРОЧНО СРОЧНО ПОМОГИТЕ ДАМ 20 БАЛЛОВ
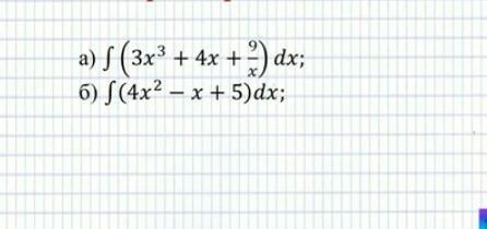
нужно найти интеграл ​

Приложения:

Ответы

Ответ дал: sangers1959
1

Объяснение:

a)\ \int\limit {(3x^3+4x+\frac{9}{x} )} \, dx=\frac{3x^4}{4}+2x^2+9ln|x|+C.

b)\ \int\limits(4x^2-x+5)  \, dx =\frac{4x^3}{3} -\frac{x^2}{2}+5x+C.

Вас заинтересует