• Предмет: Информатика
  • Автор: andreibogaev
  • Вопрос задан 3 года назад

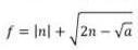
Напишите программу вычислить функцию. Паскаль

Приложения:

Ответы

Ответ дал: nipine3640
1

Ответ:

var n, f: real;

begin

read(n);

f := abs(n) + sqrt(2 * n - sqrt(a));

writeln(f);

end.

Вас заинтересует