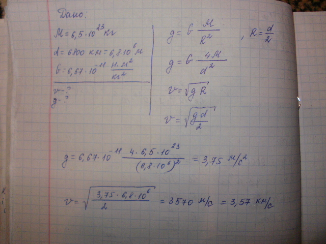
визначте прискорення вільного падіння та першу космічну швидкість для тіла поблизу поверхні Марса, вважаючи, що маса Марса дорівнює 6,5*10²³кг, а його діаметр - 6800км.
Ответы
Ответ дал:
0
Розв’язок у файлі...............
Приложения:
Вас заинтересует
3 года назад
3 года назад
8 лет назад
11 лет назад
11 лет назад
11 лет назад