• Предмет: Математика
  • Автор: mmmyep293737
  • Вопрос задан 3 года назад

Номер 5 и номер 7 СРОчНО

Приложения:

Ответы

Ответ дал: superpochta001
1

Ответ:

7.1) 1300/100*7=91

1300-60=1240 заплатит Зинаида Ивановна

7.2) 300*36/100=108 км прошел в первый час

300-108=192 км осталось пройти

40% - это половина

192/2=96 км прошел за 3 час


mmmyep293737: Пасиба огромноеее
superpochta001: <3
mmmyep293737: :)
parus77: эти задания решены неверно,ошибки при вычислении.
mmmyep293737: Да, я заметила
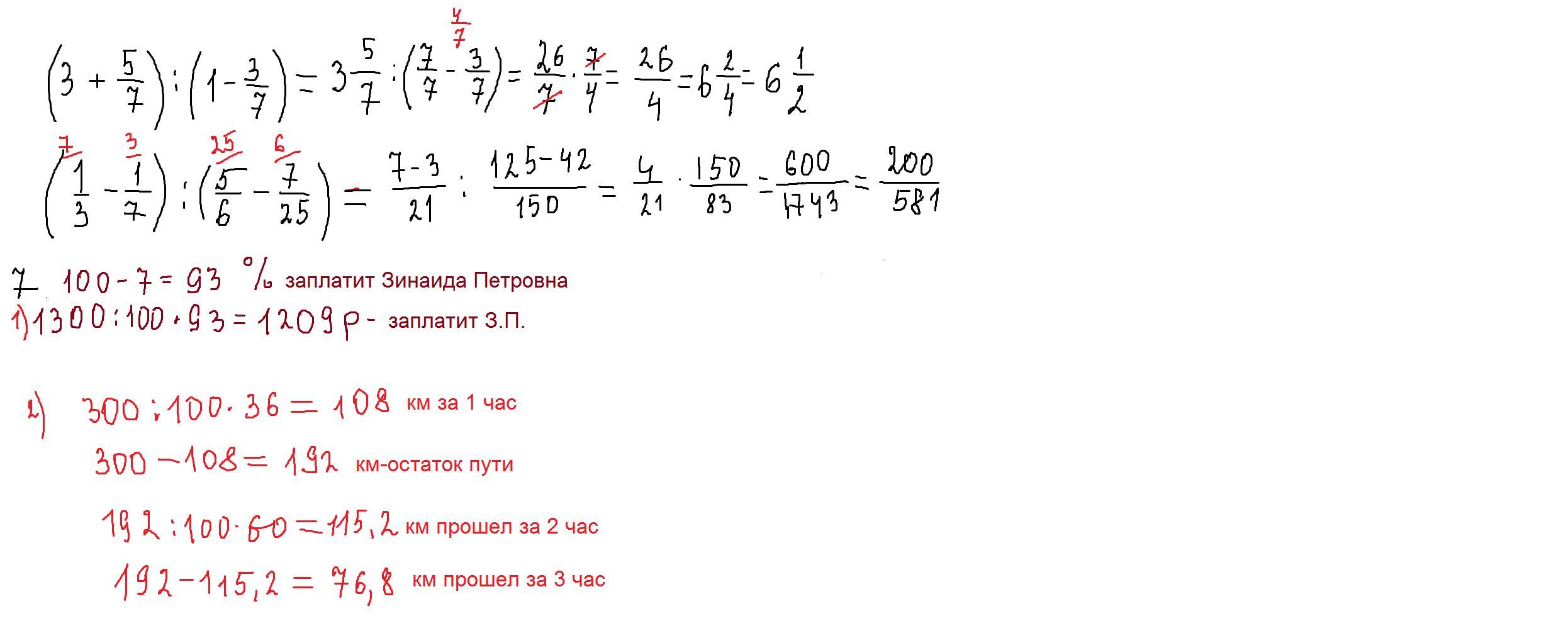
Ответ дал: parus77
1

Ответ:

Пошаговое объяснение:

решение смотри внизу

Приложения:

mmmyep293737: Спасибо
Вас заинтересует